مقدمه شناوری در مدیریت پروژه
شناوری یک مفهوم مهم در مدیریت پروژه است که نقش مهمی در زمانبندی و مدیریت منابع ایفا میکند. وجود شناوری نشاندهنده انعطافپذیری در برنامه پروژه بوده و برای اطمینان از تکمیل بهموقع پروژه ضروری است. در این مقاله به بررسی انواع شناوری، روشهای عملی محاسبه و ارائه مثالی برای تشریح کاربرد آن میپردازیم. در انتها بهتایم را به عنوان نرم افزاری برای کمک به شما برای محاسبات مسیر بحرانی و شناوری معرفی میکنیم.
فهرست مطالب:

شناوری در مدیریت پروژه چیست؟
به زبان ساده، شناوری در مدیریت پروژه، مدت زمانی است که یک فعالیت معین میتواند بدون ایجاد تاخیر در کل پروژه به تاخیر بیفتد. دو نوع متمایز از شناوری وجود دارد که مدیران پروژه برای مدیریت جداول زمانی فعالیت از آنها استفاده میکنند، شناوری کل و شناوری آزاد.
شناوری کل
- مدت زمانی است که یک فعالیت میتواند بدون تأثیر بر تاریخ تحویل نهایی پروژه به تاخیر بیفتد.
- معمولاً زمانی که مدیران پروژه در مورد شناوری صحبت میکنند، منظورشان این نوع شناوی است.
- میتواند تاریخ تحویل نهایی پروژه را به خطر بیندازد و بیشتر از شناوری آزاد نگرانکننده است.
شناوری آزاد
- مدت زمانی است که یک فعالیت میتواند بدون تأثیر بر فعالیت بعدی به تاخیر بیفتد.
- کمتر از شناوری کل به آن اشاره میشود.
- معمولاً نگرانی زیادی برای تحویل بهموقع پروژه ایجاد نمیکند.
سادهترین راه برای محاسبه شناوری این است که زمانی را که برای انجام یک کار اختصاص دادهاید، از زمانی که واقعاً طول میکشد، کم کنید. برای مثال، اگر ۱۰ روز برای یک کار اختصاص دادهاید، اما انجام آن تنها ۶ روز طول میکشد، شناوری شما ۴ روز است. فعالیتها با شناوری صفر را میتوان بخشی از مسیر بحرانی در نظر گرفت زیرا هرگونه تاخیر در این وظایف به معنای تاخیر در مهلت پروژه است.
فرض کنید در حال ساختن آشپزخانه جدید خود هستید و ۹۰ روز فرصت دارید تا این فرآیند را تکمیل کنید زیرا یک مهمانی بزرگ برای سه ماه دیگر برنامهریزی کردهاید. برای تکمیل پروژه بازسازی آشپزخانه موارد زیر باید به ترتیب انجام شوند:
- نصب دیوار
- نصب کابینت
- لولهکشی/برقکاری
- نصب کف
این فعالیتها مسیر بحرانی را تشکیل میدهند و شناوری صفر دارند. کارهای دیگری مانند نقاشی و تزئین هم وجود دارند که باید انجام شوند، اما انعطافپذیری بیشتری در مورد زمان انجام شدنشان وجود دارد. این وظایف مسیر غیر بحرانی را تشکیل میدهند.
رنگآمیزی را میتوان هر زمان پس از نصب دیوار انجام داد، بنابراین شناوری بالایی دارد. تزیین را میتوان هر زمان پس از اتمام نقاشی انجام داد، بنابراین تزئین نیز دارای شناوری است.

نحوه محاسبه شناوری در مدیریت پروژه
برای محاسبه شناوری، باید مراحل زیر را دنبال کنید:
- گراف ایجاد کنید:
گرافی ایجاد کنید که توالی فعالیتها و وابستگیهای آنها را نشان دهد. این نمودار به عنوان پایهای برای محاسبات شناوری عمل میکند.
- زودترین زمان شروع و زودترین زمان پایان را تعیین کنید:
برای هر فعالیت، زودترین زمان شروع (ES) و زودترین زمان پایان (EF) را بر اساس زمانبندی پروژه و وابستگیها محاسبه کنید.
- دیرترین زمان شروع و دیرترین زمان پایان را محاسبه کنید:
دیرترین زمان شروع (LS) و دیرترین زمان پایان (LF) را برای هر فعالیت تعیین کنید.
- فرمولهای شناوری کل و آزاد را اعمال کنید:
برای محاسبه شناوری کل، زودترین تاریخ پایان کار (EF) را از دیرترین تاریخ پایان آن (LF) کم کنید:
LF – EF = TF
متناوبا، میتوانید زودترین تاریخ شروع کار (ES) را از دیرترین تاریخ شروع آن (LS) کم کنید:
LS – ES = TF
برای محاسبه شناوری آزاد، زودترین زمان پایان فعالیت (EF) را از مینیمم زودترین زمان شروع فعالیتهای بعدی آن (ES of Next) کم کنید:
FF= ES of Next − EF
مثالی برای محاسبات شناوری در مدیریت پروژه
روش مسیر بحرانی الگوریتمی برای تصمیمگیری است. این الگوریتم زمان شروع، مدت زمان و زمان پایان کار را میگیرد تا مشخص کند کدام فعالیتها مستحق بیشترین توجه هستند(یعنی برای پروژه بحرانی هستند). فرض کنید لیستی از وظایف را مطابق شکل زیر دارید:

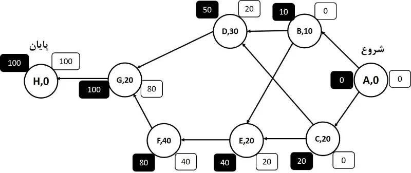
زودترین زمان شروع و پایان هر فعالیت را پیدا میکنید:
- برای انجام این کار، تمام فعالیتها را در یک فلوچارت رسم کنید و مدت زمان آنها را در کنار ID فعالیت یادداشت کنید.
- زمان شروع (S) را در سمت چپ و راست اولین فعالیت بنویسید. معمولاً ۰ خواهد بود.
- اکنون زودترین زمان شروع (ES) هر فعالیت را در سمت راست آن بنویسید. زودترین زمان شروع یک فعالیت، بیشترین عدد سمت چپ فعالیتهای وابسته پیشین آن است. به عنوان مثال فعالیتهای B و C پیشنیاز فعالیت D هستند. زودترین زمان شروعشان به ترتیب ۱۰ و ۲۰ است، پس زودترین زمان شروع فعالیت D، ماکزیمم این دو مقدار یعنی ۲۰ است.
- زودترین زمان پایان هر فعالیت را در سمت چپ آن بنویسید. زودترین زمان پایان هر فعالیت از جمع زودترین زمان شروع و مدت زمان آن محاسبه میشود. به عنوان مثال فعالیت D، زودترین زمان پایانی معادل ۳۰+۲۰=۵۰ دارد.

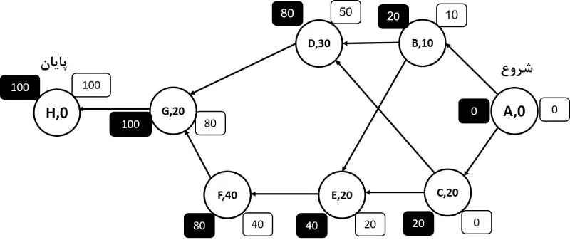
فلوچارت بالا را برعکس طی میکنید:
- برای انجام این کار، تمام فعالیتها را در یک فلوچارت دیگر رسم کنید و مدت زمان آنها را در کنار ID فعالیت یادداشت کنید.
- زمان پایان F=100 را که از مراحل قبلی به دست آوردیم در سمت چپ و راست آخرین فعالیت بنویسید.
- اکنون دیرترین زمان پایان هر فعالیت را در سمت چپ آن بنویسید. دیرترین زمان پایان هر فعالیت، کمترین عدد سمت راست فعالیتهای وابسته پسین آن است. به عنوان مثال فعالیتهای وابسته پسین فعالیت C، فعالیتهای D و E هستند. دیرترین زمان شروع فعالیت D و E به ترتیب ۵۰ و ۲۰ است. مینیمم ۵۰ و ۲۰ یعنی ۲۰ دیرترین زمان پایان فعالیت C است.
- دیرترین زمان شروع هر فعالیت را در سمت راست آن بنویسید. برای به دست آوردن دیرترین زمان شروع هر فعالیت، مدت زمانش را از دیرترین زمان پایان آن کم کنید. به عنوان مثال فعالیت C، دیرترین زمان شروعی معادل ۲۰-۲۰=۰ دارد.

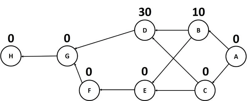
محاسبه شناوری کل فعالیتها:
- برای محاسبه شناوری کل هر فعالیت کافیست، زودترین تاریخ پایان کار (EF) را از دیرترین تاریخ پایان آن (LF) کم کنید و یا زودترین تاریخ شروع کار (ES) را از دیرترین تاریخ شروع آن (LS) کم کنید:
LF – EF = TF
LS – ES = TF
- شناوری کل هر فعالیت را در بالای آن بنویسید.

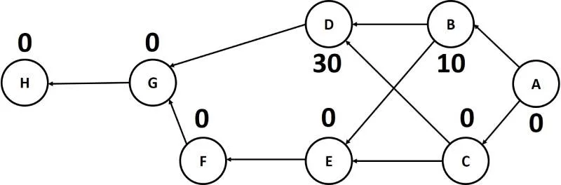
محاسبه مسیر بحرانی:
فعالیتها با شناوری کل صفر بر روی مسیر بحرانی قرار دارند. در شکل زیر مسیر بحرانی با رنگ قرمز مشخص شده است. مسیر بحرانی فعالیتهایی را مشخص میکند که هرگونه تاخیر در آنها باعث به تاخیر افتادن کل پروژه میشود. در مسیر بحرانی هیچ وقت اضافی برای انجام فعالیتها وجود ندارد. وقتی یک فعالیت دارای شناوری مثبت است، به این معنی است که میتواند به تأخیر بیفتد، بدون اینکه تأثیری بر زمان تکمیل پروژه داشته باشد.
درباره مسیر بحرانی بیشتر بخوانید.

محاسبه شناوری آزاد برای فعالیتها:
- برای محاسبه شناوری آزاد، زودترین زمان پایان فعالیت (EF) را از زودترین زمان شروع فعالیت بعدی (ES of Next) کم کنید:
FF= ES of Next – EF
- شناوری آزاد هر فعالیت را در پایین آن بنویسید.

استفاده از ابزارهای مدیریت پروژه
محاسبه شناوری و مسیر بحرانی برای فعالیتها میتواند بسیار ارزشمند باشد، اما انجام محاسبات به صورت دستی برای بیشتر پروژهها به دلیل پیچیدگی آنها غیرممکن است. استفاده از ابزارهای مدیریت پروژه مانند بهتایم راهکار مناسبی است. این نرم افزارها محاسبات مسیر بحرانی را انجام داده و نتیجه را در اختیار شما قرار میدهند. به عنوان مثال فعالیتهای مثال قبلی را به بهتایم اضافه کردیم تا محاسبات مسیر بحرانی را انجام دهد:
- پروژه را در بهتایم تعریف کنید. (مشاهده آموزش تعریف پروژه)
- فعالیتهای پروژه را تعریف کنید و یا آنها را به بهتایم وارد کنید. (تاریخ شروع و سررسید فعالیتها را مشخص کنید.)
- به گانت چارت پروژه مراجعه کنید و روابط پیشنیازی را با چند کلیک ساده برقرار کنید.
- پس از این مرحله، بهتایم مسیر بحرانی را با قرمز کردن فعالیتهای روی آن به شما نمایش میدهد.

با شناسایی شناوری و مسیر بحرانی میتوانید تغییرات مورد نیاز را برای موفقیت پروژه اعمال کنید. اگر از بهتایم استفاده کنید اعمال این تغییرات بسیار ساده میشود. به عنوان مثال تغییر شروع و پایان فعالیتها و روابط بین آنها به کمک گانت چارت بهتایم و با چند کلیک به آسانی انجام میشود. به بهتایم نیاز دارید؟ رایگان ثبت نام کنید.
استفاده از شناوری برای مدیریت بهتر پروژهها
صرف نظر از سبک مدیریت پروژه شما، شناوری کل و آزاد میتواند به شما و تیمتان در مدیریت منابع، زمانبندی و تحویل پروژه کمک کند. شناوری برای مدیران پروژهای که با پیمانکاران و مدیران منابع داخلی کار میکنند، بسیار ارزشمند است. به عنوان مثال، با آگاهی از میزان شناوری آزاد و شناوری کل یک فعالیت خاص، به پیمانکاران خود آزادی عمل بیشتری میدهید. آنها میتوانند با انتخاب بهترین نیروی کار، کار در زمان رسیدن متریال لازم، کار در بهترین شرایط آب و هوایی و اجتناب از اضافه کاری، برنامه خود را بهینه کنند.
مدیران منابع داخلی هم از انعطافپذیری که شناوری پروژه ایجاد میکند، سود میبرند. شناوری پروژه به جای اینکه آنها را تحت فشار سررسیدهای فشرده و غیرقابل مذاکره قرار دهد، فضای لازم برای تخصیص منابع به کارآمدترین شکل ممکن را برایشان فراهم میکند.
برخی از مزایای شناوری در مدیریت پروژه را در ادامه بخوانید:
پروژهها را در مسیر صحیح نگه میدارد.
نظارت بر شناوری کل پروژه (TF) برای اطمینان از اینکه پروژه کلی به موقع تحویل داده میشود، بسیار مهم است. اگر متوجه شدید که شناوری کل پروژه به صفر نزدیک میشود، باید مطمئن شوید کارهای باقی مانده به موقع به اتمام میرسند. حتی ممکن است لازم باشد منابع اضافه کنید تا به تیم پروژه کمک کنید کارهای نهایی را سریعتر از برنامهریزی اولیه انجام دهند. اگر قرار نیست پروژه به موقع تمام شود، وقت آن است که با مشتری یا سهامداران خود گفتگو کنید تا به آنها اطلاع دهید که باید منتظر تاخیر باشند.
اولویتبندی را بهبود میبخشد.
شناوری آزاد (FF) عدد مفیدی برای نظارت است چرا که راهی به شما میدهد تا تصمیم بگیرید کدام کارها باید اولویتبندی شوند و کدامیک میتوانند عقب بیفتند. اگر یک کار دارای شناوری صفر یا شناوری پایین است، باید به بالای لیست اولویت برود تا تیم پروژه بتواند آن را انجام دهد. برعکس، هر کار با شناوری آزاد بالا را میتوان به انتهای لیست اولویت برد، زیرا هیچ عجلهای برای به پایان رساندن آنها وجود ندارد.
روحیه تیم را تقویت میکند.
شناوری آزاد میتواند روحیه تیم پروژه را تقویت کند. فرض کنید که فعالیت A شناوری آزاد بسیار پایینی دارد، به این معنی که خطر به تاخیر افتادن وظیفه B وجود دارد. بنابراین شما میتوانید به تیمی که روی فعالیت A کار میکند منابع اضافی بدهید تا به آنها کمک کنید کار خود را بهموقع به پایان برسانند.
همچنین میتوانید به تیمی که روی وظیفه B کار میکند، اطلاع دهید که خودشان را برای تاخیر در کار آماده کنند. با نظارت بر شناوری آزاد، میتوانید مشکلات را زودتر تشخیص دهید و مطمئن شوید که تیمها از تاخیرهای ناگهانی ناامید نمیشوند. اگر تیم B بداند که تاخیری در کار است، آنگاه میتواند زمان خود را با کار روی موضوع دیگری پر کند.
امکان بهینهسازی منابع را فراهم میکند.
با توجه به شناوری، مدیران پروژه میتوانند تخصیص منابع را بهینه کنند. آنها میتوانند برنامهها را بر اساس در دسترس بودن منابع تنظیم کنند و اطمینان حاصل کنند که تیمها به طور موثر و بدون به خطر انداختن جدول زمانی پروژه مورد استفاده قرار میگیرند.
ریسک پروژه را کاهش میدهد.
مدیران پروژه میتوانند از شناوری به عنوان ابزار ارزیابی ریسک استفاده کنند. با شناسایی فعالیتهای با شناوری کل قابل توجه، آنها میتوانند بین فعالیتهای بحرانی و غیر بحرانی تمایز قائل شوند. کارهایی که میزان شناوری کل آنها پایین است، مستعد تاخیر بوده و مناطق بالقوه ریسک هستند. وظایف با شناوری کل پایین و کارهایی که در مسیر بحرانی قرار دارند برای تلاشهای کاهش ریسک اولویتبندی میشوند. به کمک شناوری کل، مدیران پروژه میتوانند منابع را به صورت استراتژیک تخصیص دهند. وظایف با شناوری پایین ممکن است به منابع اضافی یا یک برنامه اضطراری برای اطمینان از تکمیل به موقع نیاز داشته باشند تا ریسک تاخیر را کاهش دهند.
ارتباط با پیمانکاران و ذینفعان را بهبود میبخشد.
ارتباط موثر در مدیریت پروژه به ویژه هنگام کار با پیمانکاران خارجی و درگیر کردن ذینفعان، بسیار مهم است. شناوری که نشاندهنده انعطافپذیری در برنامه پروژه است، نقشی اساسی در تسهیل ارتباطات شفاف و حل مشکلات همکاری ایفا میکند. انتقال واضح اطلاعات مربوط به شناوری به جلوگیری از سوء تفاهم و اختلافات بین مدیران پروژه و پیمانکاران کمک میکند. با در نظر گرفتن شناوری در مدیریت پروژه، تغییرات در زمانبندی یا تاخیرها پیشبینی میشود و این موضوع میتواند به تطبیق انتظارات و توافقهای واقعبینانه کمک کند.
رضایت مشتری را افزایش میدهد.
مدیران پروژه با استفاده از اهرم شناوری برای مدیریت موثر برنامههای پروژه، میتوانند رضایت مشتری را افزایش دهند. تحویل پروژهها به موقع یا حتی زودتر از موعد مقرر به ایجاد روابط مثبت با مشتری کمک کرده و اعتماد ایجاد میکند.
ویدیویی کارآمد در ارتباط با لگ و شناوری در مدیریت پروژه
مراجع: